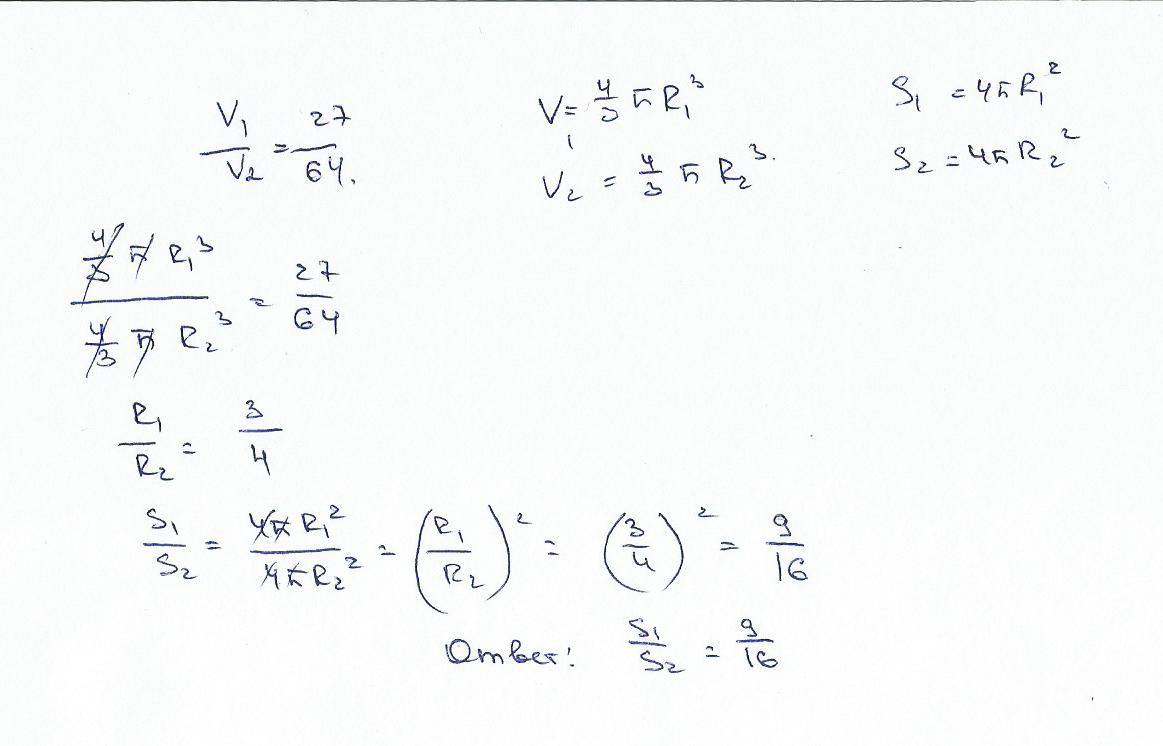
• об'єми двох куль відносяться як 27:64. як відносяться площі їх поверхонь?

Ответы 1

  • смотри решение внизу)
    answer img
    • Автор:

      wadeilzg
    • 2 года назад
    • 8
  • Добавить свой ответ

Войти через Google

или

Забыли пароль?

У меня нет аккаунта, я хочу Зарегистрироваться

How much to ban the user?
1 hour 1 day 100 years