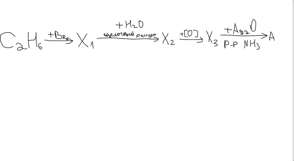
• определите вещество А в цепочке превращений (решение надо)

    question img

Ответы 1

  • С2H6+Br2----> С2Н5Br + HBr С2Н5Br + Н2О = С2Н5ОН + HBr С2Н5ОН + [O] = CH3CHO + H2O CH3CHO + Ag2O = CH3COOH + Agуксусная кислота - вещество А
    • Автор:

      kyan
    • 5 лет назад
    • 0
  • Добавить свой ответ

Войти через Google

или

Забыли пароль?

У меня нет аккаунта, я хочу Зарегистрироваться

How much to ban the user?
1 hour 1 day 100 years