• Na2SO4+AGNO3=NaNO3+AG2SO4
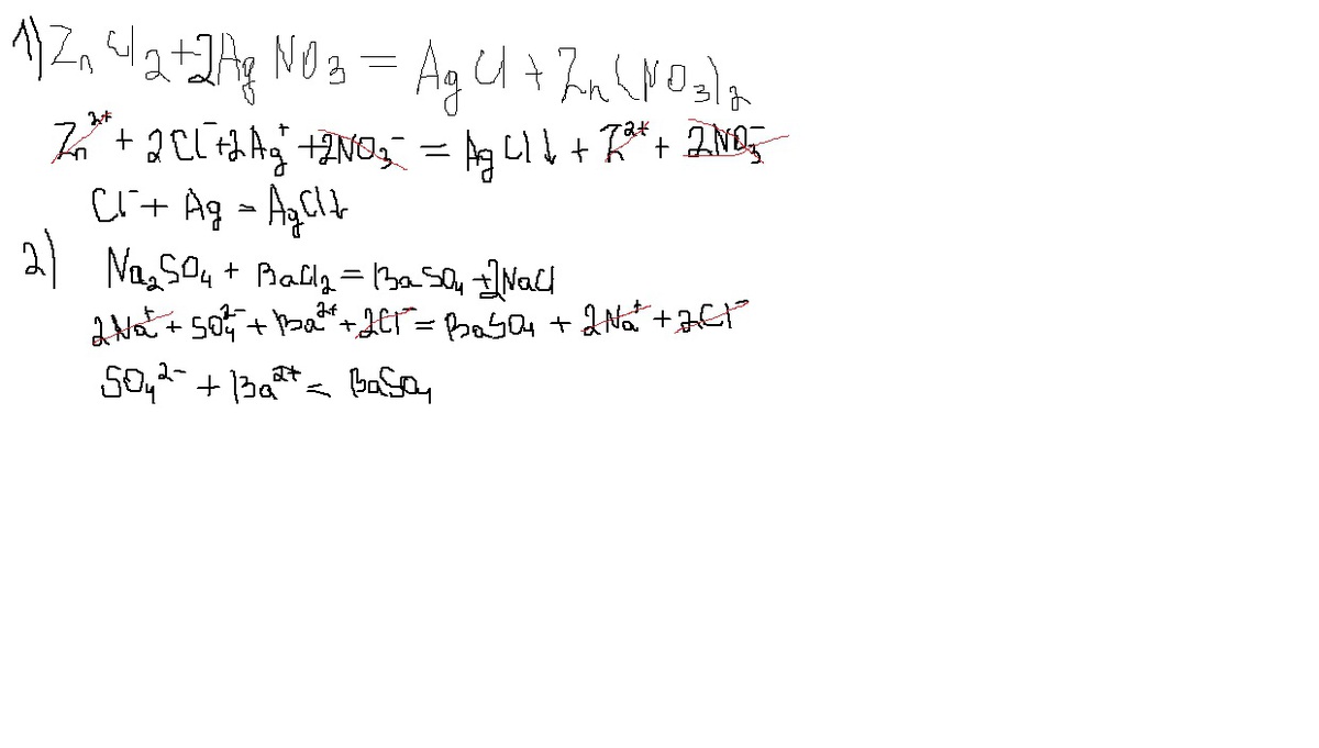
    ZnCl2+AgNO3=AgCl+Zn(NO3)2
    Na2SO4+BaCl2=BaSo4+NaCl
    Уравнения полные ионные и сокращённо ионные пожалуйста.

Ответы 1

  • Уравнения полные ионные и сокращённо ионные 
    answer img
    • Автор:

      nicky2nzq
    • 2 года назад
    • 3
  • Добавить свой ответ

Войти через Google

или

Забыли пароль?

У меня нет аккаунта, я хочу Зарегистрироваться

How much to ban the user?
1 hour 1 day 100 years