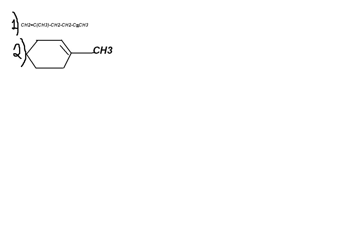
У первого неправильно составлена формула: у углерода валентность равна четырём, а у него три атома водорода и вдобавок тройная связь!
Второй - 1-метилциклогексен
Автор:
triggerlschДобавить свой ответ
С какими из перечисленных веществ будет взаимодействовать кислород: 1) оксид натрия 2) фосфор 3) хлорид цинка 4) железо
Предмет:
ХимияАвтор:
angelinakellyОтветов:
Смотреть
Каким я вижу Хлестакова в комедии "Ревизор"
Предмет:
ЛитератураАвтор:
phoebebqf0Ответов:
Смотреть
Развернутый угол разделен лучом в отношении 1:4. Найдите градусные меры полученных углов.
Прочитай ключевые слова двух японских сказок. Что ты можешь предположить?
"Добрый крестьянин" "Ивовый росток"
крестьянин хозяин
12 кадушек сои слуга
старая лошадь ива редкого сорта
6 кадушечек - лошади смотри хорошенько
6 - себе вялый росток
сел верхом выкапывал
уносил
Подскажите как это сделать?
Предмет:
ЛитератураАвтор:
commandoОтветов:
Смотреть