• Решите задачу по химии) Дам 15 баллов и отмечу как лучшее) плиз жду)

    question img

Ответы 7

  • 1429 не правильно
    • Автор:

      salemafpm
    • 6 лет назад
    • 0
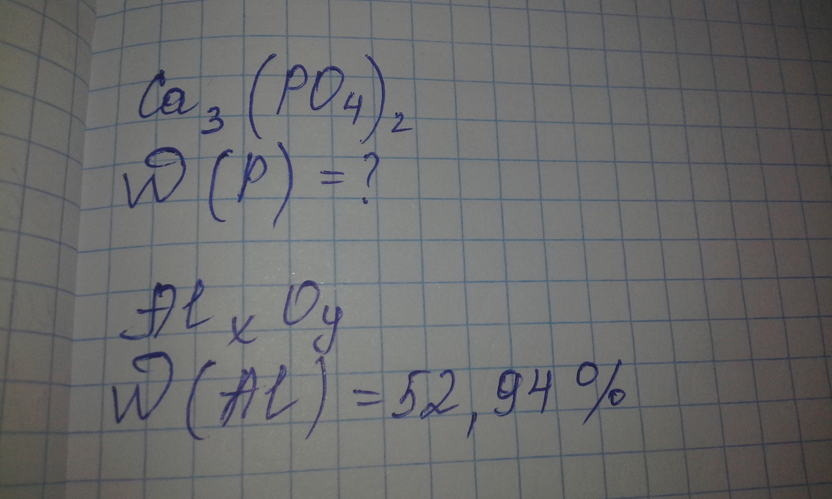
  • дальше будет
  • 52,94/27=2
    • Автор:

      angeline
    • 6 лет назад
    • 0
  • 47,06/16=3
    • Автор:

      stevemkdh
    • 6 лет назад
    • 0
  • Отсюда следует, что соотношение элементов 2:3 значит исходное вещество Al2O3 оксид алюминия (3)
    • Автор:

      orestes
    • 6 лет назад
    • 0
  • спасибо огромное!
    • Автор:

      golden
    • 6 лет назад
    • 0
  • Вот, держи! Это совсем не сложно!:)
    answer img
    • Автор:

      lorena
    • 6 лет назад
    • 0
  • Добавить свой ответ

Войти через Google

или

Забыли пароль?

У меня нет аккаунта, я хочу Зарегистрироваться

How much to ban the user?
1 hour 1 day 100 years