• ДАЮ 50 БАЛЛОВ!ПОМОГИТЕ ПОЖАЛУЙСТА С ХИМИЕЙ!СРОЧНОО!(ТЕМА ПОЛУЧЕНИЕ КИСЛОРОДА)

    question img

Ответы 1

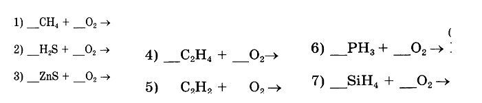
  • СH₄ + 2O₂ = CO₂ + 2H₂O2H₂S + 3O₂ = 2SO₂ + 2H₂O2ZnS + 3O₂ = 2ZnO + 2SO₂C₂H₄ + 3O₂ = 2CO₂ + 2H₂O2C₂H₂+ 5O₂ = 4CO₂ + 2H₂O2PH₃ + 4O₂ = P₂O₄ + 3H₂OSiH₄ + 2O₂ = SiO₂ + 2H₂O
  • Добавить свой ответ

Войти через Google

или

Забыли пароль?

У меня нет аккаунта, я хочу Зарегистрироваться

How much to ban the user?
1 hour 1 day 100 years