• Сколько по объему выделится газа, при взаимодействии магния с концентрированной 32% 60 мл азотной кислотой (Р=1,2г/мл)?
    СРОЧНО!!!!!! ПОМОГИТЕ РЕШИТЬ!!!! БУДУ ОЧЕНЬ БЛАГОДАРЕН !!!

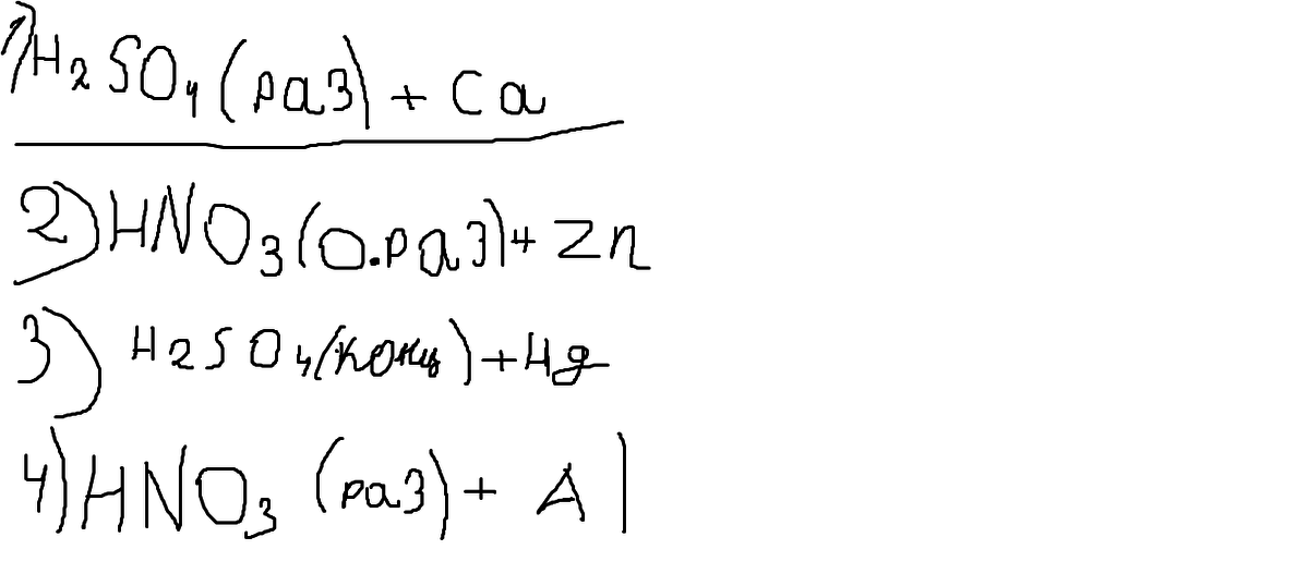
    question img

Ответы 6

  • а тут надо уравнивать????
    • Автор:

      dudley61
    • 6 лет назад
    • 0
  • ??????????77
  • Я уже всё уравнял
  • спасибо вам большое) очень выручили)
  • Фотку с задачей прикрепил к уравнениям
  • Уравнения: 1) H2SO4 + 2Ca => CaSO4 + H2                     2) 10HNO3(оч.разбав.) + 4Zn => 4Zn(NO3)2 + NH4NO3 + 3H2O                     3) 2H2SO4(конц) + Hg => HgSO4 + SO2 + 2H2O                     4)  36HNO3(разбав.) + 10Al => 10Al(NO3)3 + 3N2 + 18H2O
    answer img
    • Автор:

      buzzy
    • 6 лет назад
    • 0
  • Добавить свой ответ

Войти через Google

или

Забыли пароль?

У меня нет аккаунта, я хочу Зарегистрироваться

How much to ban the user?
1 hour 1 day 100 years