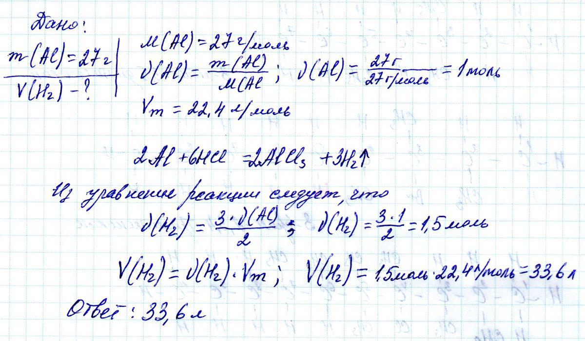
• рассчитайте какой объем водорода (н.у) образуется при взаимодействии 27 г алюминия с соляной
    кислотой
    подробное решение задачи!

Ответы 1

  • Решение задачи см. во вложении
    answer img
  • Добавить свой ответ

Войти через Google

или

Забыли пароль?

У меня нет аккаунта, я хочу Зарегистрироваться

How much to ban the user?
1 hour 1 day 100 years