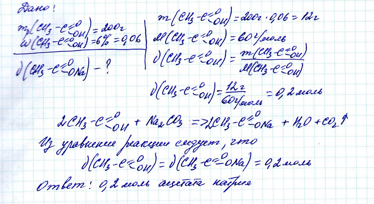
• Определите химическое количество соли,полученной в реакции раствора карбоната натрия с раствором уксусной кислоты массой 200г с массовой долей кислоты 6%.

Ответы 1

  • Решение задачи см. во вложении
    answer img
    • Автор:

      micah252
    • 2 года назад
    • 20
  • Добавить свой ответ

Еще вопросы

Войти через Google

или

Забыли пароль?

У меня нет аккаунта, я хочу Зарегистрироваться

How much to ban the user?
1 hour 1 day 100 years