• Химия , Составьте уравнения !:)
    Заранее спасибо , ответ выберу лучшим

    question img

Ответы 1

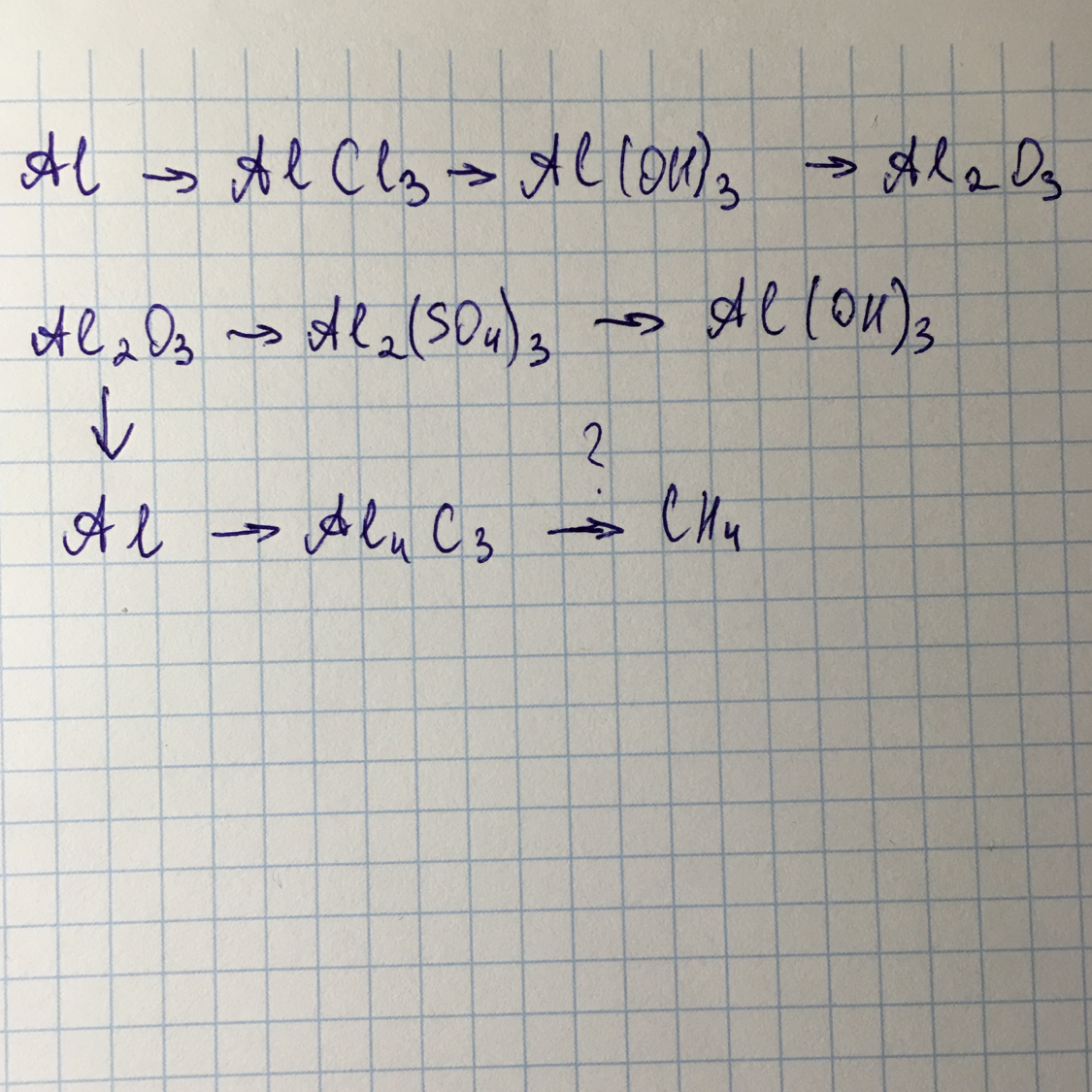
  • 1)Al+Cl2= AlCl32)AlCl3 + NaOH= Al(OH)3 + NaCl3)2Al(OH)3=Al2O3 + 3H2O4)Al2O3+3H2SO4=Al2(SO4)3 + 3H2O5)Al2(SO4)3+6KOH=3K2SO4 + 2Al(OH)36)Al2O3+3CO=2Al+3CO27)3С+Al=4Al4C38)Al4C3+H2O=Al(OH)3+CH4
  • Добавить свой ответ

Войти через Google

или

Забыли пароль?

У меня нет аккаунта, я хочу Зарегистрироваться

How much to ban the user?
1 hour 1 day 100 years