Ребят, ответ на задание я нашла! Но мне нужна помощь в объяснении решения этого задания!!! ВООБЩЕМ КТО СИЛЕН В ХИМИИ ПОМОГИТЕ :З
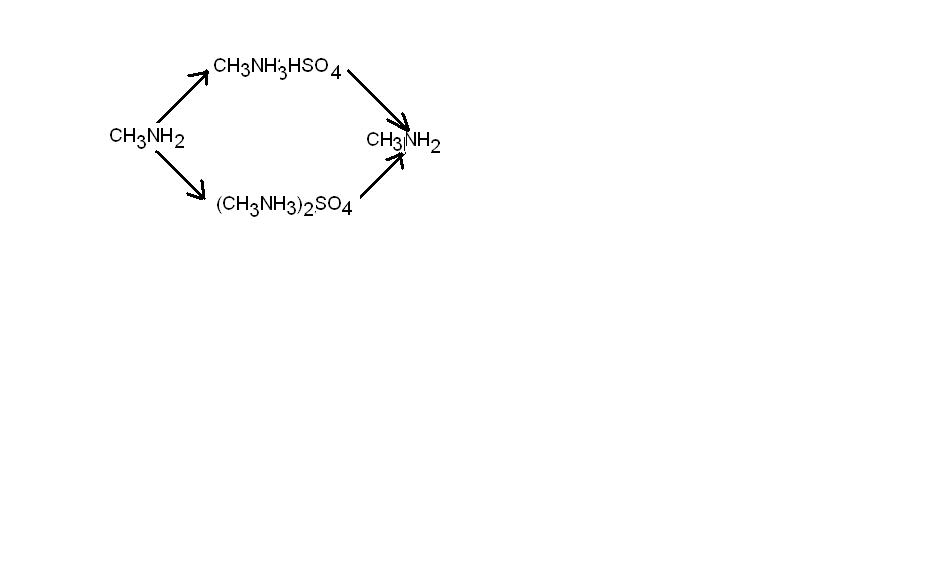
ЗАДАНИЕ: Составьте уравнения реакций, в результате которых можно осуществить следующие превращения: (см. в вложения)
РЕШЕНИЕ:
ch3nh2 + h2so4 = [ch3nh3]hso4
[ch3nh3]hso4 +2naoh= ch3nh2 + na2so4 + 2h2o
2ch3nh2 + h2so4 =[ch3nh3]2so4
[ch3nh3]2so4 + 2naoh = 2ch3nh2 + naso4 + 2h2o
С ВАС ОБЪЯСНЕНИЕ!
амины по свойствам похожи на аммиак.
Аммиак и амины - основания, реагируют с кислотами
NH3 +H2SO4 = NH4HSO4
CH3NH3 +H2SO4 = CH3NH3HSO4
2NH3 +H2SO4 = (NH4)2SO4
2CH3NH3 +H2SO4 = (CH3NH3)2SO4
соли аммония реагируют со щелочами с образованием аммиака, аналогично с солями амминов
NH4HSO4 + 2NaOH =Na2SO4 + NH3 + 2H2O
CH3NH3HSO4+ 2NaOH =Na2SO4 + CH3NH2 + 2H2O
(NH4)2SO4+ 2NaOH =Na2SO4 + 2NH3 + 2H2O
(CH3NH3)2SO4+ 2NaOH =Na2SO4 + 2CH3NH2 + 2H2O
Автор:
buckeyevz3yДобавить свой ответ
1)15а+5а
2)27а-34а
3)-0,81х-х
4)-4 3\5а-0,4а
5)32с-31с
6)2 2\3а+4 1\5а
Предмет:
МатематикаАвтор:
leonardoОтветов:
Смотреть
В коробке лежат 26 бриллиантов из которых один природного происхождения, остальные его копии, изготовленные в лаборатории. Массы искусственных бриллиантов одинаковы, масса природного немного меньше. Продумайте план действия для нахождения природного бриллианта за три взвешивания на чашечных весах без гирь. Запишите свои рассуждения используя связку "если ..., то ..."
Предмет:
ИнформатикаАвтор:
blimpieОтветов:
Смотреть
Помогите преобразовать в многочлен выражение: (a-3)(a+2)-(a-1)^3
Предмет:
АлгебраАвтор:
concepciónmarshallОтветов:
Смотреть
жанр произведения "Война и мир"
Предмет:
ЛитератураАвтор:
epifaníameyerОтветов:
Смотреть