• Хелп ми!
    Расставьте коэффициенты в уравнении,очень срочно!

    question img

Ответы 3

  • кислород вроде как не может иметь степень окисления -5
    • Автор:

      cadennuzg
    • 6 лет назад
    • 0
  • это не степень окисления. коэффициент. перед молекулой. до реакции 3 молекулы кислорода. после реакции их 5. нужно как-то уравнять (-это было тип тире)
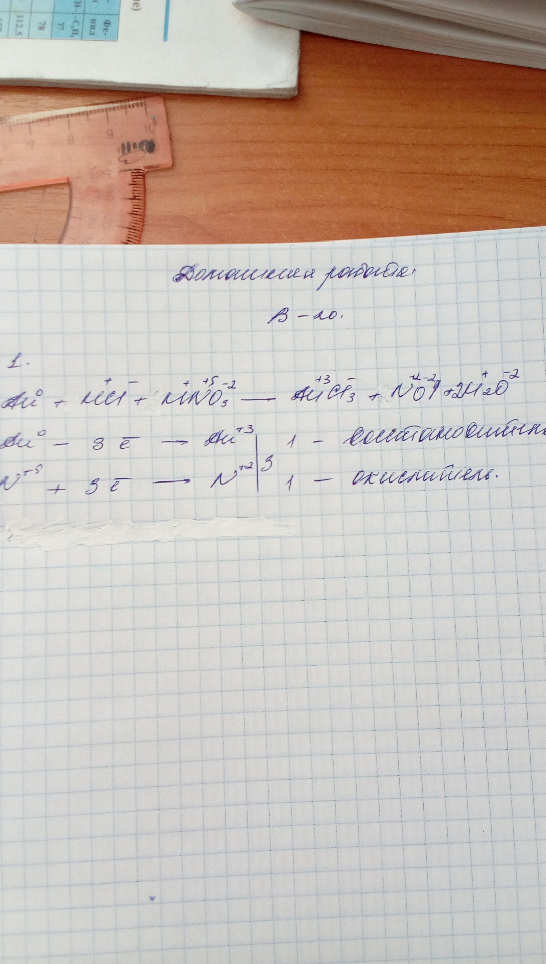
  • Au+3HCl+HNO3=AuCl3+NO+2H2O
    • Автор:

      jared29
    • 6 лет назад
    • 0
  • Добавить свой ответ

Войти через Google

или

Забыли пароль?

У меня нет аккаунта, я хочу Зарегистрироваться

How much to ban the user?
1 hour 1 day 100 years