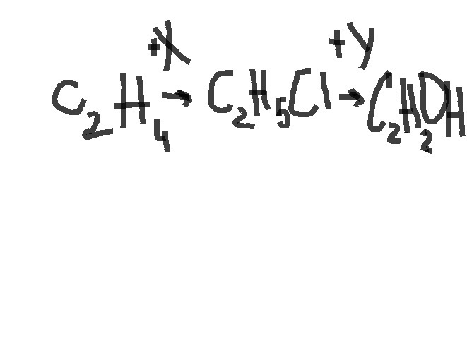
• СРОООЧНО, ПОЖАЛУЙСТА ПОМОГИТЕ ОПРЕДЕЛИТЬ Веществами Х и Y в схеме превращений.... являются?

    question img

Ответы 4

  • или NaCl и H2O
    • Автор:

      beatrice
    • 6 лет назад
    • 0
  • NaOH
    • Автор:

      brenna
    • 6 лет назад
    • 0
  • как ни странно но в варианте ответов такого ответа нет
  • x- HCl y-NaOH или H2O.........................................
  • Добавить свой ответ

Еще вопросы

Войти через Google

или

Забыли пароль?

У меня нет аккаунта, я хочу Зарегистрироваться

How much to ban the user?
1 hour 1 day 100 years