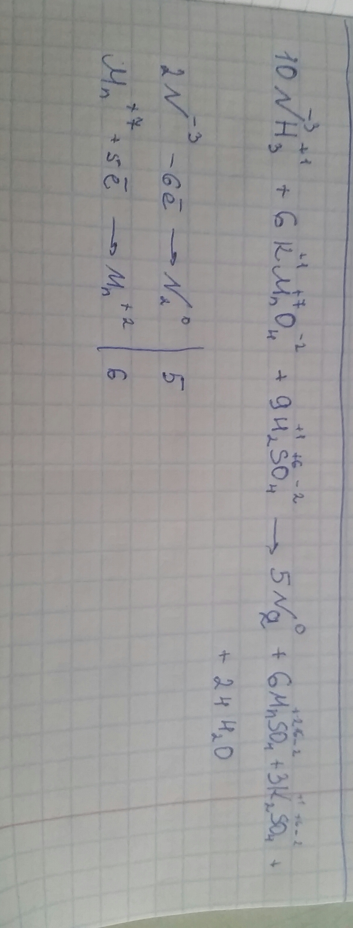
• Объясните, пожалуйста, как расставили коэффициенты

    question img

Ответы 2

  • Спасибо
    • Автор:

      beauy0ud
    • 6 лет назад
    • 0
  • Спасибо
  • Добавить свой ответ

Войти через Google

или

Забыли пароль?

У меня нет аккаунта, я хочу Зарегистрироваться

How much to ban the user?
1 hour 1 day 100 years