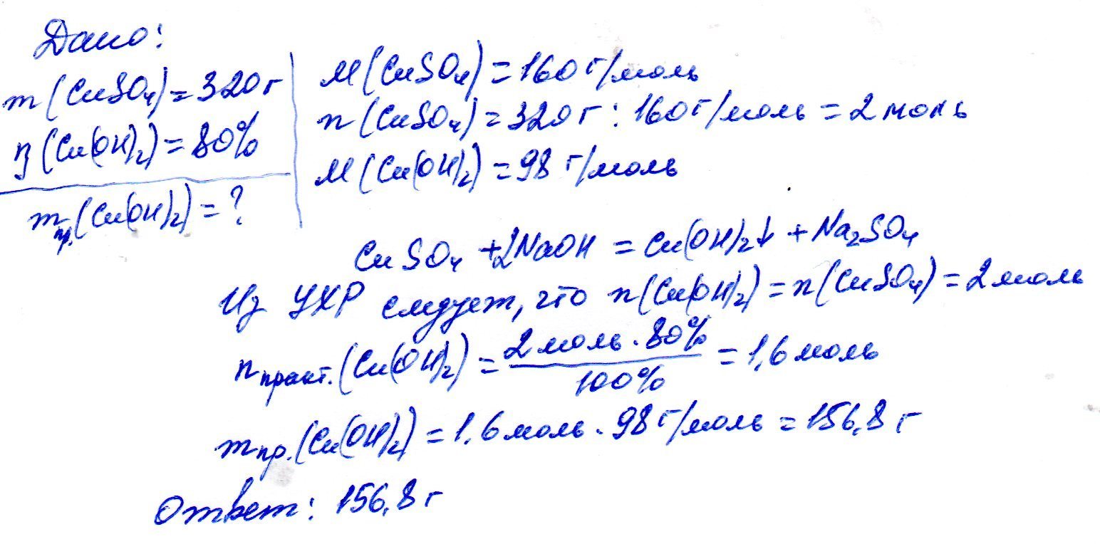
• Сульфат меди массой 320 грамм прореагировал с достаточным количеством гидроксида натрия. Рассчитайте массу купрума двухвалентного, выпавшего в осадок, если выход продукта реакции составляет 80%.

Ответы 1

  • Решение во вложении....................................
    answer img
  • Добавить свой ответ

Войти через Google

или

Забыли пароль?

У меня нет аккаунта, я хочу Зарегистрироваться

How much to ban the user?
1 hour 1 day 100 years