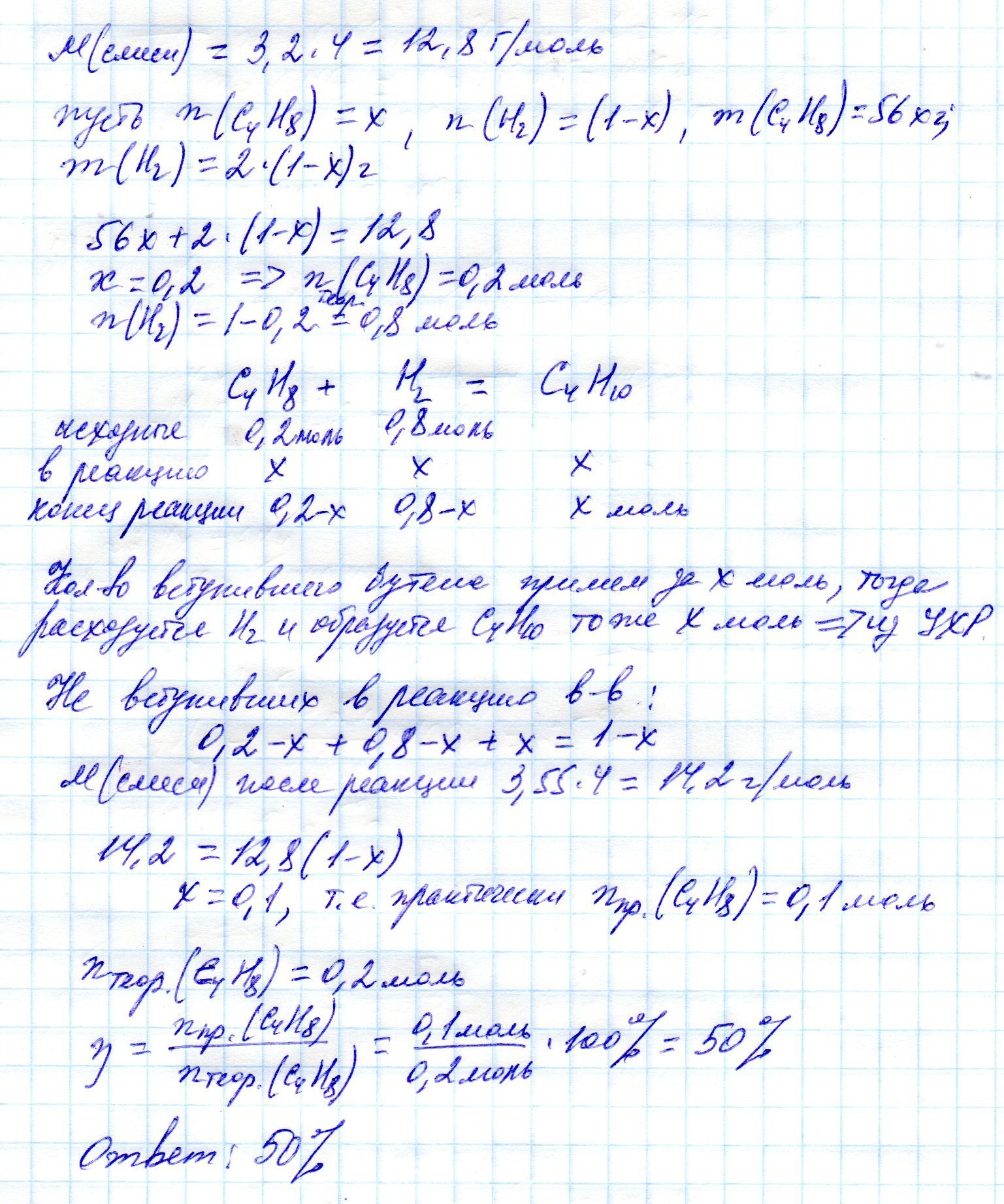
• Смесь бутена-2 и водорода (отн. плотность смеси по гелию равна 3,2) пропустили через никелевый катализатор. В итоге отн. пл-ть смеси по гелию стала равна 3,55. Чему равен выход реакции гидрирования?

Ответы 1

  • решение см. во вложении
    answer img
  • Добавить свой ответ

Войти через Google

или

Забыли пароль?

У меня нет аккаунта, я хочу Зарегистрироваться

How much to ban the user?
1 hour 1 day 100 years