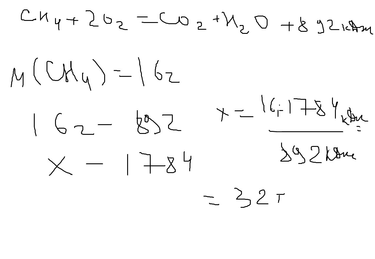
• Срочно!!!! По мы химическому уравнению реакции ch4+202=co2+h2o+892кДж вычислить какая метана сгорит если выделилось 1784 кдж теплоты

Ответы 1

  • СH4+2O2=co2+h2o+892кджM(CH4)=12+1*4=16Составляем пропорцию16(CH4)----892kДжx(CH4)------1784x=16*1784/892=32г(Кдж сокращаются остаются граммы)
    answer img
    • Автор:

      tessaw7i2
    • 2 года назад
    • 18
  • Добавить свой ответ

Войти через Google

или

Забыли пароль?

У меня нет аккаунта, я хочу Зарегистрироваться

How much to ban the user?
1 hour 1 day 100 years