• расчитайте относительную плотность кислорода при н.у. по:а) сернистому газу(SO2), б)по озону, в) по воздуху

Ответы 1

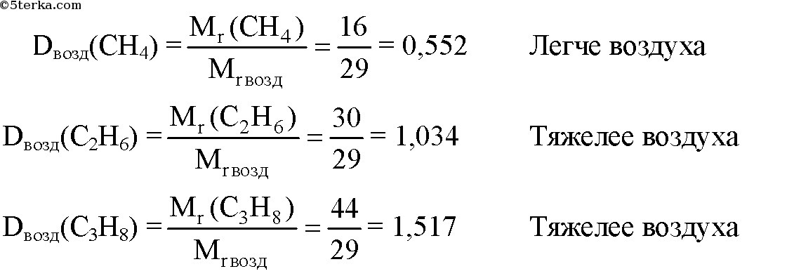
  • надеюсь поможет тебе)))
    answer img
    • Автор:

      joseph433
    • 2 года назад
    • 15
  • Добавить свой ответ

Войти через Google

или

Забыли пароль?

У меня нет аккаунта, я хочу Зарегистрироваться

How much to ban the user?
1 hour 1 day 100 years