• 1.расставьте коэффициенты методом электронного баланса KCLO3 + HCL -> CL2 + KCL+H2O
    Сумма коэффициентов в уравнении равна а)12 б)9 в)14 г)15
    2. электронная схема атома химического элемента 2е 8е 2е. определить его положение в периодической системе элементов, напишете формулы высшего оксида и гидроксида, назовите их и укажите свойства
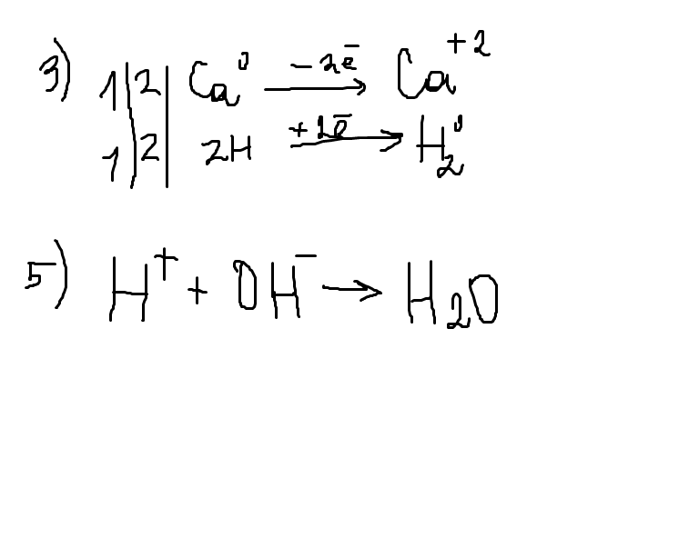
    3. вода как окислитель при обычных условиях реагирует с а) cao б) ca в)h2so4 г)co
    Напишите уравнение соответствующей реакции, составте схему электронного баланса.
    4. вычислите массу 3,36 л хлороводорода (н.у.) и его относительную плотность по воздуху.
    5. составте сокращенное ионно-молекулярное уравнение взаимодействия H2SO4 с AL(OH)3. число ионов в уравнение равно: а)4 б)8 в)6 г)7

Ответы 1

  • 1) в2) магний. оксид магния MgO, гидроксид магния 2 Mg(OH)2, основные свойства.3) б Ca+2H2O=Ca(OH)2+H24)m=0,15*36,5=5,475 гД=36,5/29=1,258625) не знаю,какой ответ. но ионное уравнение я составила
    answer img
  • Добавить свой ответ

Еще вопросы

Войти через Google

или

Забыли пароль?

У меня нет аккаунта, я хочу Зарегистрироваться

How much to ban the user?
1 hour 1 day 100 years