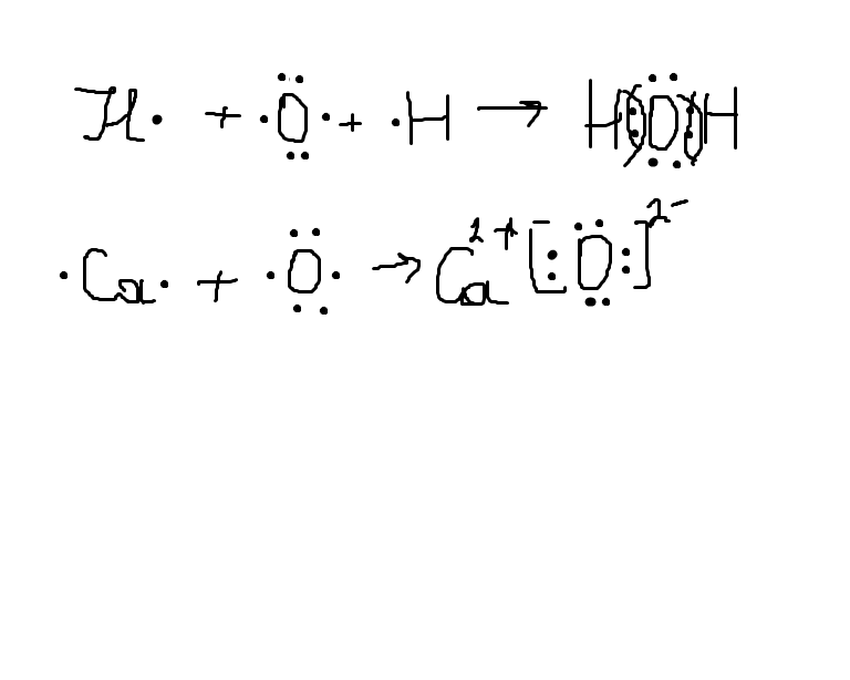
• Составьте схемы образования химической связи между атомами в соединениях:H2O,CaO

Ответы 1

  • если непонятно,то пиши. и между молекулами воды также может возникать водородная связь( в учебнике посмотри,как её изображать)
    answer img
    • Автор:

      angelcjbn
    • 2 года назад
    • 10
  • Добавить свой ответ

Войти через Google

или

Забыли пароль?

У меня нет аккаунта, я хочу Зарегистрироваться

How much to ban the user?
1 hour 1 day 100 years