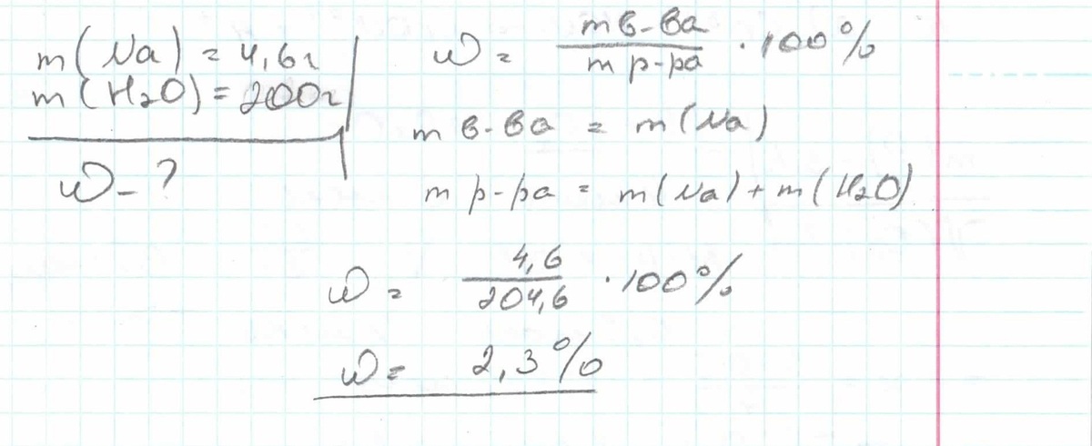
• .На металлический натрий массой 4,6 г. подействовали 200 мл. воды.Определить массовую долю в (%) полученной в растворе.

Ответы 1

  • ,,,,,,,,,,,,,,,,,,,,,,,,,,,,,
    answer img
    • Автор:

      heiditpua
    • 2 года назад
    • 12
  • Добавить свой ответ

Войти через Google

или

Забыли пароль?

У меня нет аккаунта, я хочу Зарегистрироваться

How much to ban the user?
1 hour 1 day 100 years