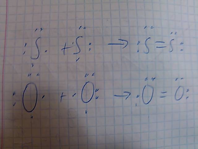
• сравните строение кислорода и паров серы S2. приведите схемы образования молекул. сравните прочность химической связи в веществах

Ответы 1

  • молекулы паров серы больше чем молекулы паров кислорода, молекулы кислорода прочней чем молекулы газообразной серы
    answer img
  • Добавить свой ответ

Войти через Google

или

Забыли пароль?

У меня нет аккаунта, я хочу Зарегистрироваться

How much to ban the user?
1 hour 1 day 100 years