• Помогите пожалуйста решить цепочку !!! Я буду очень благодарна если вы мне поможете !!!!

    question img

Ответы 1

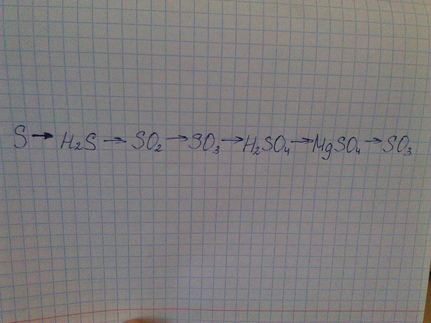
  • S + H2 = H2S2H2S + 3O2 = 2H2O + 2SO22SO2 + O2 = 2SO3SO3 + H2O = H2SO4H2SO4 + Mg = MgSO4 + H2последний переход не осуществим, из сульфата оксид серы(6) не получить
    • Автор:

      huang
    • 6 лет назад
    • 0
  • Добавить свой ответ

Войти через Google

или

Забыли пароль?

У меня нет аккаунта, я хочу Зарегистрироваться

How much to ban the user?
1 hour 1 day 100 years