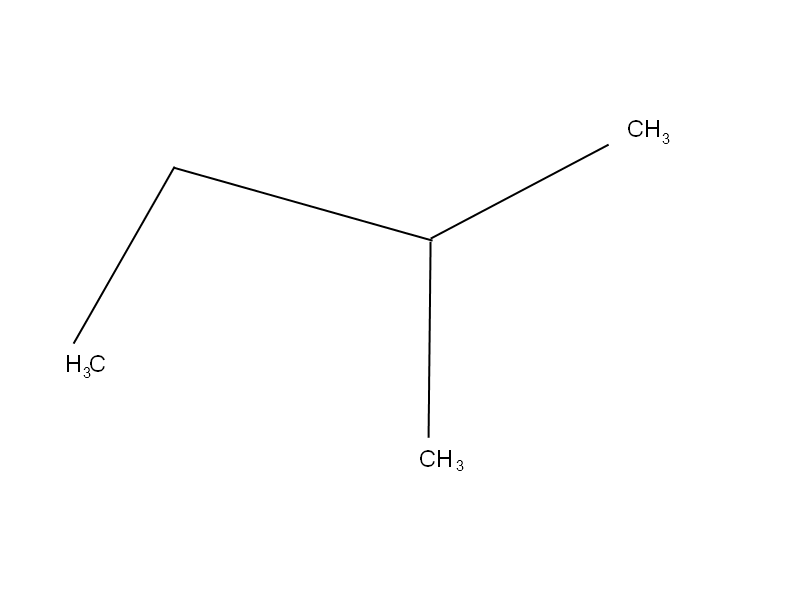
• Ребят, помогите, объясните. Есть молекула органического соединения.   Нужно написать формулу и желательно объяснить)

    question img

Ответы 2

  • Спасибо большое)
  • Выбераешь самую длинную цепь. Здесь она состоит из 4-ех атомов углерода. Начинается она от СН3 далее 2 пропуска это пропушенная гомологическая разность т.е. -СН2. Кончается она также СН3. Что насчет нижней палочки СН3 это метильный радикал. При его введении будет нарушаться как распр.электронной плотности так и отнятие протона т.е. н-бутан Н3С-СН2СН2-СН3 Превращается в Н3ССН2СН (СН3) СН3 т.е. 2 метилбутан
    • Автор:

      broderick
    • 6 лет назад
    • 0
  • Добавить свой ответ

Войти через Google

или

Забыли пароль?

У меня нет аккаунта, я хочу Зарегистрироваться

How much to ban the user?
1 hour 1 day 100 years