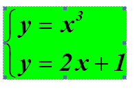
• 1. Используя приложение MS EXCEL, решите графическим способом следующую систему уравнений:



    2. Ось ординат должна пересекать ось абсцисс в точке 0. Значение абсциссы решения определите с точностью 0.005.

    question img

Ответы 1

  • Вариант в Excel 2003
  • Добавить свой ответ

Войти через Google

или

Забыли пароль?

У меня нет аккаунта, я хочу Зарегистрироваться

How much to ban the user?
1 hour 1 day 100 years