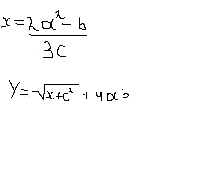
• Как написать программу в паскале для вычисления значений выражений. исходные данные a,b,c задаются пользователем с клавиатуры.

    question img

Ответы 5

  • все хорошо работает?
    • Автор:

      laney29
    • 6 лет назад
    • 0
  • нет,ошибка
  • завтра попробую исправить
    • Автор:

      carmona
    • 6 лет назад
    • 0
  • исправил ошибку, удали решение и я выложу исправленное в файле паскаля
  • program aaa;uses crt;var a,b,c:integer;x, y: real;beginwriteln(' Vvedite a ');readln(a);writeln(' vvedite b ');readln (b);wriateln(' Vvedite c' );readln (c);x:=((2*a^2-b)/(3*c));y:=(sqrt(x+c^2)+4*a*b);writeln( 'x=', x, 'y=', y);end. Вот программа, к сожалению, паскаля на компе у меня нет,  поэтому, думаю, ты сам справишься с подготовкой программы к запуску и тестированию
  • Добавить свой ответ

Еще вопросы

Войти через Google

или

Забыли пароль?

У меня нет аккаунта, я хочу Зарегистрироваться

How much to ban the user?
1 hour 1 day 100 years