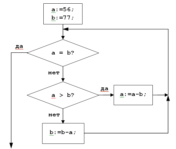
• 1) Определите значения переменной a после выполнения фрагмента алгоритма

    question img

Ответы 1

  • Значение "а" после алгоритма а= 2
    • Автор:

      chambers
    • 6 лет назад
    • 0
  • Добавить свой ответ

Войти через Google

или

Забыли пароль?

У меня нет аккаунта, я хочу Зарегистрироваться

How much to ban the user?
1 hour 1 day 100 years