• СРОЧНО!
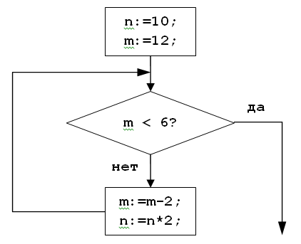
    Определите значение переменной n после выполнения фрагмента алгоритма.

    question img

Ответы 1

  • Ответ это :значениеn = 160
  • Добавить свой ответ

Еще вопросы

Войти через Google

или

Забыли пароль?

У меня нет аккаунта, я хочу Зарегистрироваться

How much to ban the user?
1 hour 1 day 100 years