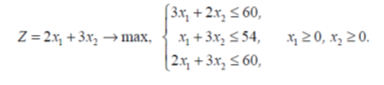
• Решите оптимизационную задачу с помощью процедуры «Поиск решения»
    Желательно, если вы сможете, с объяснением как вставить данные уравнения в этот "поиск решений"

    question img

Ответы 2

  • большое спасибо
  • один из вариантов таблицы:Сервис/надстройки/поиск решения/  -- поставить галочку.Сервис/поиск решения --- добавить условия 
    answer img
    • Автор:

      adonis
    • 6 лет назад
    • 0
  • Добавить свой ответ

Войти через Google

или

Забыли пароль?

У меня нет аккаунта, я хочу Зарегистрироваться

How much to ban the user?
1 hour 1 day 100 years