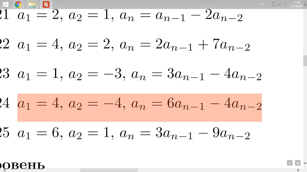
• Создайте рекурсивную функцию для вычисления неизвестного следующей последовательности. Напишите программу ее проверки. Проверять корректность исходных данных в работе не требуется. Замечание: рекурсивное решение в данном случае не оптимально; задание предназначено только для того, чтобы попробовать сделать простейшую рекурсивную функцию. Ниже на скрине красным веделено...
    PASCAL(Lazarus)
    помогите пожалуйста!! Не понимаю, как сделать....
    Желательно с кодом.. Спасибо

    question img

Ответы 6

  • Извиняюсь еще раз, но вы не могли бы расписать подробно, как она работает?
  • Я не знаю, как можно ПОДРОБНО расписать три оператора присваивания, два из которых вообще просто присваивание констант, а третий по сути копия приведенной в задании формулы.
    • Автор:

      rascal
    • 6 лет назад
    • 0
  • Я не понимаю, как работает выражение. Можете подставить значения и посчитать, пожалуйста. Я подставляю вместо n число - и выходит другое.
  • Значит, Вы неправильно считаете. Учить арифметике - это не задача предмета "Информатика"
    • Автор:

      cozmo
    • 6 лет назад
    • 0
  • Работа функции для аргумента 5 мной была проверена.
    • Автор:

      demetrius
    • 6 лет назад
    • 0
  • //PascalABC.Net 3.0, сборка 1053function F(n:integer):longint;begin  case n of    1: F:=4;    2: F:=-4;    else F:=6*F(n-1)-4*F(n-2)  endend;begin  Writeln('F(5)=',F(5)) { тестовое}end.Тестовое решение:F(5)=-1184
  • Добавить свой ответ

Войти через Google

или

Забыли пароль?

У меня нет аккаунта, я хочу Зарегистрироваться

How much to ban the user?
1 hour 1 day 100 years