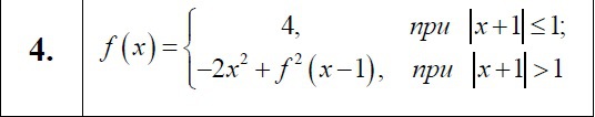
• Рекурсия. ПаскальABC. Составить программу для определения значения функции, заданной указанным соотношением.

    question img

Ответы 4

  • спасибо большое, у вас там ошибочка, нужно не умножить, а прибавить, но это опечатка)
    • Автор:

      rory69
    • 6 лет назад
    • 0
  • Спасибо, я уже сам заметил и попрвил
  • function f(x:integer):integer;begin  if abs(x+1)<=1 then f:=4  else f:=-2*sqr(x)+sqr(f(x-1))end;
  • Function F(x : Real) : Real;Begin If abs(x+1)>1 then F:=-2*sqr(x)+sqr(f(x-1)) else F:=4;end;Var a : Real;Begin Readln(a); Writeln(F(a));end.
  • Добавить свой ответ

Войти через Google

или

Забыли пароль?

У меня нет аккаунта, я хочу Зарегистрироваться

How much to ban the user?
1 hour 1 day 100 years