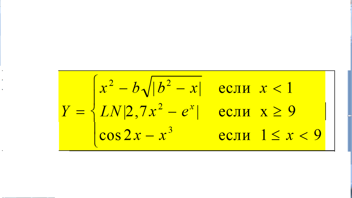
• срочно!! помогите,пожалуйста.Составить блок-схему и программу на языке Паскаль вычисления значений функции y=f(x) для аргумента x, изменяющегося от xn до xk с шагом h.

    question img
    question img

Ответы 1

  • Можно задачу решать так, как показано ниже (с использованием констант), а можно все данные вводить с клавиатуры.const xn=-1.5; xk=1.5; h=0.1; b=2;var x,y:real; i,n:integer;beginx:=xn-h;n:=round((xk-xn)/h)+1;writeln(' x      y');for i:=1 to n do begin x:=x+h; if x<1   then y:=x*x-b*sqrt(abs(b*b-x))  else if x<9 then y:=cos(2*x)-x*x*x              else y:=ln(abs(2.7*x*x-exp(x))); writeln(x:4:1,y:8:3); end;end.
  • Добавить свой ответ

Войти через Google

или

Забыли пароль?

У меня нет аккаунта, я хочу Зарегистрироваться

How much to ban the user?
1 hour 1 day 100 years