• Помогите написать программу на C++
    Cоздать 3 одномерных статических массива Х1, Х2, Х3 размерностями N1, N2, N3 (где N константа, определяемая в программе программистом). Заполнить каждый массив Х1, Х2, Х3 случайными числами в диапазоне [D1_min, D1_max], [D2_min, D2_max], [D3_min, D3_max] соответственно.
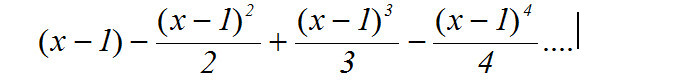
    Создать еще 3 одномерных массива Y1, Y2, Y3 размерностями N1, N2, N3, каждый элемент массивов Y вычисляется в соответствии с зависимостью (см. номер варианта). Например Y1[i]=f(X1[i], k), k- количество элементов многочлена из варианта.
    Вывести на экран значения всех массивов.
    Заполнение массивов Х1, Х2, Х3 случайными числами, вывод элементов массива на экран, вычисление значения функции f(X1[i], k), а также заполнение массивов Y1, Y2, Y3 реализовать в собственных функциях.
    + Смотрите скрин для задания, который я прикрепил.

    question img

Ответы 1

  • #include <cstdlib>#include <iostream>#include <ctime>#include <math.h>using namespace std;void RandArr(double *mas, int d_min,int d_max,int n){  int m=d_max - d_min + 1;   for(int i=0; i<n; ++i) {     mas[i]=rand()%m + d_min;         cout << mas[i]<<" ";    }   cout <<endl; }void f(double *xx, double *yy, int k, int n){  double t=0;  for(int i=0; i<n; ++i) {   for(int j=1; j<=k; ++j)    t+=cos(j*xx[i])/(j*j);    yy[i]=t;   t=0; }}void PrintStar(){   for(int i=0; i<80; ++i)    cout <<"*";   cout << endl; }void ShowArr(double *mas,int n){ for(int i=0; i<n; ++i)  cout<< mas[i]<<" "; cout <<endl;   PrintStar(); }int main(int argc, char *argv[]){    srand(time(0));    short const N1=20,N2=18,N3=12;    double x1[N1],x2[N2],x3[N3];    int D_MIN[3]={2,-5,7}, D_MAX[3]={10,2,10};     cout <<"X1: ";    RandArr(x1,D_MIN[0],D_MAX[0],N1);    cout <<"X2: ";    RandArr(x2,D_MIN[1],D_MAX[1],N2);    cout <<"X3: ";    RandArr(x3,D_MIN[2],D_MAX[2],N3);    double y1[N1],y2[N2],y3[N3];    f(x1,y1,4,N1);    f(x2,y2,4,N2);    f(x3,y3,4,N3);    cout <<"Y1: ";    ShowArr(y1,N1);    cout <<"Y2: ";    ShowArr(y2,N2);    cout <<"Y3: ";    ShowArr(y3,N3);    cin.get();    return EXIT_SUCCESS;}
  • Добавить свой ответ

Войти через Google

или

Забыли пароль?

У меня нет аккаунта, я хочу Зарегистрироваться

How much to ban the user?
1 hour 1 day 100 years