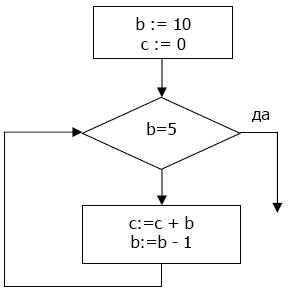
• определите значение переменной с после выполнения фрагмента алгоритма, записанного в виде блок-схемы:( вложение)

     

    В ответ укажите одно число - значение переменной с

     

    question img

Ответы 1

  • Алгоритм содержит цикл с предусловием. Цикл выполняется до тех пор, пока b≠5. Начальное значение b=10, а в теле цикла b уменьшается каждый раз на 1, т.е. цикл будет выполнен для b=10,9,8,7,6 - пять раз.В цикле переменная с накапливает сумму значений b, следовательно по окончании цикла с = 10+9+8+7+6 = 40Ответ: 40
    • Автор:

      edenmunoz
    • 6 лет назад
    • 0
  • Добавить свой ответ

Войти через Google

или

Забыли пароль?

У меня нет аккаунта, я хочу Зарегистрироваться

How much to ban the user?
1 hour 1 day 100 years