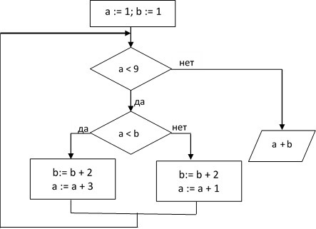
• Определите результат выполнения фрагмента блок-схемы:

    question img

Ответы 6

  • спс братан
    • Автор:

      stephany
    • 6 лет назад
    • 0
  • сделай ту задачу со степенями пж\
  • Так сделал) ответ 145, если это был ты)))
    • Автор:

      romeo10
    • 6 лет назад
    • 0
  • ты уверен что 145
    • Автор:

      bentley38
    • 6 лет назад
    • 0
  • Ну, если я правильно понял условие, то да
    • Автор:

      logan
    • 6 лет назад
    • 0
  • Ответ 18(4 цикла) Если нужно - подробно могу описать значения переменных
    • Автор:

      itsy
    • 6 лет назад
    • 0
  • Добавить свой ответ

Войти через Google

или

Забыли пароль?

У меня нет аккаунта, я хочу Зарегистрироваться

How much to ban the user?
1 hour 1 day 100 years