• Помогите решить задачку в Excel
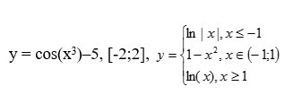
    Построить график функции


    question img

Ответы 4

  • Большое спасибо!
  • Это т.е. два графика по формуле получается?
  • Там две формулы, через запятую.
  • Вариант в Excel 2003---------------------------см. прикрепленные файлы.
    answer img
  • Добавить свой ответ

Еще вопросы

Войти через Google

или

Забыли пароль?

У меня нет аккаунта, я хочу Зарегистрироваться

How much to ban the user?
1 hour 1 day 100 years