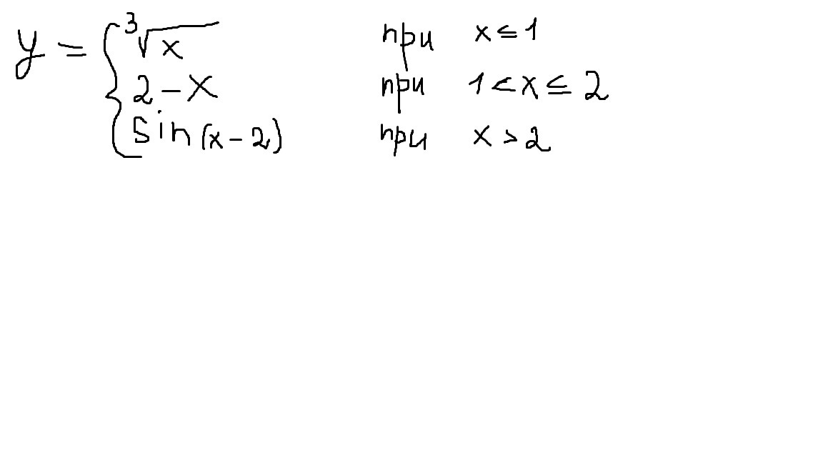
• Составить программу зависимости y от x по формуле

    question img

Ответы 5

  • Возведение в степень исправьте пожалуйста.
    • Автор:

      lianapkuc
    • 6 лет назад
    • 0
  • Спасибо, глупая ошибка.
  • Спасибо, большое. Просто окончил в мае школу и подал на программиста в институт, но я учу lua язык, а у меня бабушка заставляет паскаль. А тошнит от него. Спасибо еще раз.
    • Автор:

      piper93
    • 6 лет назад
    • 0
  • #include <iostream>#include <cmath>using namespace std;int main(){    double x, y;    cout << " x = ";    cin >> x;    if (x <= 1)        y = pow(x, 1 / 3.0);    else if (x <= 2)        y = 2 - x;    else        y = sin(x - 2);    cout << "y = " << y << endl;;    }
    • Автор:

      lola76
    • 6 лет назад
    • 0
  • Программа на паскале:var x, y: real;beginwrite('x = '); readln(x);if x <= 1 then y := exp(1/3*ln(x)) else if x <= 2 then y := 2 - x                else y := sin(x - 2);writeln('y = ',y);end.Пример:x = 0.027y = 0.3
    • Автор:

      azulrnd8
    • 6 лет назад
    • 0
  • Добавить свой ответ

Еще вопросы

Войти через Google

или

Забыли пароль?

У меня нет аккаунта, я хочу Зарегистрироваться

How much to ban the user?
1 hour 1 day 100 years