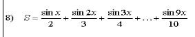
• Вычисление значение суммы ряда: ( задачу решить с использованием оператора цикла For). (N-количество членов ряда (вводится с клавиатуры.)

    Буду рад Вашей помощи.

    question img

Ответы 2

  • var i:integer; x,sum:real;begin readln(x); for i:=1 to 9 do sum:=sum+sin(i*x)/(i+1); writeln(sum);end.
  • Благодарю Вас ещё раз. Вы спасли меня )
    • Автор:

      blue
    • 6 лет назад
    • 0
  • Добавить свой ответ

Войти через Google

или

Забыли пароль?

У меня нет аккаунта, я хочу Зарегистрироваться

How much to ban the user?
1 hour 1 day 100 years