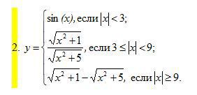
• Постройте таблицу значений функции y=f(x) для х[a, b] с шагом h.

    question img

Ответы 1

  • var    x0, xk, dx, x: real;function f(x: real): real;begin    if abs(x) < 3 then        f := sin(x)    else if abs(x) < 9 then        f := sqrt(x * x + 1) / sqrt(x * x + 5)    else         f := sqrt(x * x + 1) - sqrt(x * x + 5);end;begin    write('Введите промежуток и шаг ([a,b] h) ');    readln(x0, xk, dx);        x := x0;    writeln(' x ':10, ' | ', ' s ':10);        repeat        writeln(x:10:3, ' | ', f(x):10:3);        x := x + dx;    until x > xk;end.
    • Автор:

      carter
    • 6 лет назад
    • 0
  • Добавить свой ответ

Войти через Google

или

Забыли пароль?

У меня нет аккаунта, я хочу Зарегистрироваться

How much to ban the user?
1 hour 1 day 100 years