• ЗАПИШИТЕ ПО ПРАВИЛАМ ЯЗЫКА ПАСКАЛЬ СЛЕДУЮЩИЕ ВЫРАЖЕНИЯ:

    question img

Ответы 1

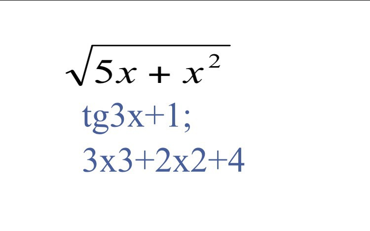
  • sqrt( 5*x+ sqr(x) )          

    tg(3*x)  +  1         

    3*x*sqr(x) + 2*sqr(x) + 4       

    запомни – sqr – это вторая степень. если посмотреть, r похожа как будто двойку начали писать.

    sqrt – это корень. если посмотреть, то t как будто можно дорисовать и получится знак корня.

    в третьем примере наверное, были третья и вторая степень. иначе нет смысла.

    • Автор:

      vicenta15
    • 6 лет назад
    • 0
  • Добавить свой ответ

Войти через Google

или

Забыли пароль?

У меня нет аккаунта, я хочу Зарегистрироваться

How much to ban the user?
1 hour 1 day 100 years