• СРОЧНО, ПОЖАЛУЙСТА
    1)Определи значение переменной a после выполнения фрагмента алгоритма при a=1 и a=16.

    Ввод а
    если a>5
    то a:=a+20
    иначе a:=a*10
    всё

    Ответ: при a=1 значение переменной a равно (...), при a=16 значение переменной a равно(...).

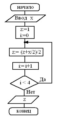
    Дана блок-схема. Какое значение будет иметь z на выходе, если x=59? (При решении и в ответе округляй до десятых)

    question img

Ответы 3

  • Определи значение переменной a после выполнения фрагмента алгоритма при a=2 и a=19.Ввод аесли a>5 то a:=a+20 иначе a:=a*10всёпри a=2 значение переменной a равно при a=19 значение переменной a равно
  • Помоги пож
  • 1) При а=1. После выполнения куска кода а=10При а=16. После выполнения куска кода а=26
    • Автор:

      butch
    • 6 лет назад
    • 0
  • Добавить свой ответ

Войти через Google

или

Забыли пароль?

У меня нет аккаунта, я хочу Зарегистрироваться

How much to ban the user?
1 hour 1 day 100 years