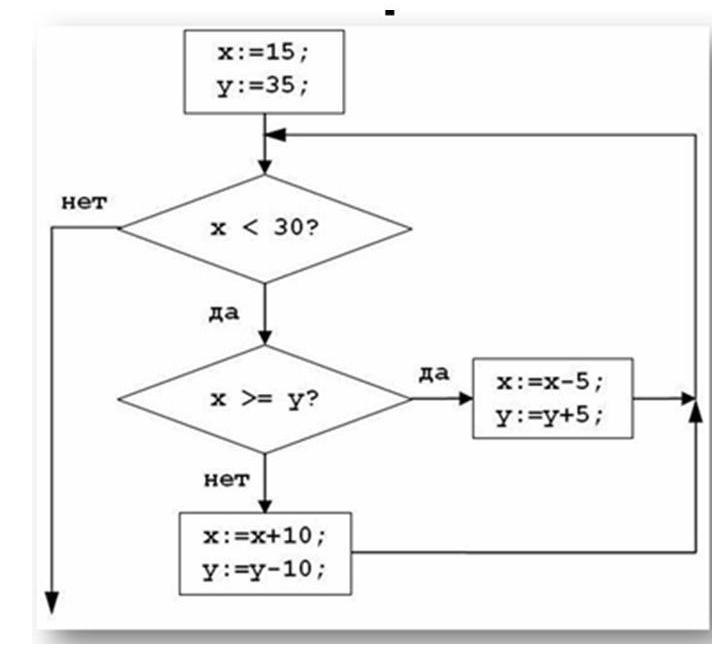
• Определите значение переменной X после выполнения фрагмента алгоритма

    question img

Ответы 3

  • ответ 30
  • ответ 30, цикл выполняется 3 раза, Y тоже вычисляется
    • Автор:

      carl
    • 6 лет назад
    • 0
  • Цикл выполнится два раза и программа продолжить выполнениеответ: 35
    • Автор:

      amyalloyd
    • 6 лет назад
    • 0
  • Добавить свой ответ

Войти через Google

или

Забыли пароль?

У меня нет аккаунта, я хочу Зарегистрироваться

How much to ban the user?
1 hour 1 day 100 years