• В чем ошибка pascal

    Вот так записал уравнение, в ответе пишет "не число"
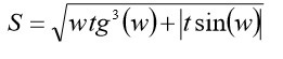
    c := sin(w)/cos(w);
    s := sqrt(w*exp(3*ln(c))+abs(t*sin(w)));
    число w = 1.77, t = -1.6

    question img

Ответы 1

  • Для данных, которые Вы указываете, функции ln() и sqrt() не определены (аргумент получается отрицательный).Если взять, например, w=0.77, то всё будет вычисляться.
  • Добавить свой ответ

Войти через Google

или

Забыли пароль?

У меня нет аккаунта, я хочу Зарегистрироваться

How much to ban the user?
1 hour 1 day 100 years