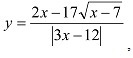
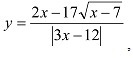
• 16. Составить алгоритм и написать решение задачи на Паскале: Вычислить формулу с фотографии, где х - произвольное число, введенное пользователем с клавиатуры.

    question img
    question img

Ответы 5

  • program apsojfskd; var x:integer; a, b, c:real; beginreadln (x);a:=2*x-17*sqrt(x-7); b:=3*x-12; if x > 4 then b:=3*x-12; if x < 4 then b:=12-3*x; c:=a/b; writeln (c); end.
  • Зачем так из вращаться, если в паскале есть функция модуля abs?
    • Автор:

      carleen
    • 6 лет назад
    • 0
  • искал в интернете, как писать модуль в паскале, не нашёл, поэтому решил альтернативу
    • Автор:

      colonel
    • 6 лет назад
    • 0
  • Формулаy=(2x-17√(x-7))/|3x-12|ПрограммаProgram yvar x, y: realBEGINwrite ('Vvedite x');readln (x);y=(2*x-17*sqrt(x-7))/abs(3*x-12);writeln ("y = ", y);END.
  • y=\frac{2x-17\sqrt{x-7}}{|3x-12|}=\frac{2x-17\sqrt{x-7}}{3x-12}ОДЗ корня: x\geq7, так что x\ \textless \ 4 в модуле получится не может, преобразовав его в 12-3x. Программа: program apsojfskd; var x:integer; a, b, c:real; beginreadln (x);a:=2*x-17*sqrt(x-7); b:=3*x-12; if x > 4 then b:=3*x-12; if x < 4 then b:=12-3*x; c:=a/b; writeln (c); end. Строки с if убрать можно в принципе, но я сделал это для вида, типа модуль в выражении присутствует. 
    • Автор:

      edward34
    • 6 лет назад
    • 0
  • Добавить свой ответ

Войти через Google

или

Забыли пароль?

У меня нет аккаунта, я хочу Зарегистрироваться

How much to ban the user?
1 hour 1 day 100 years