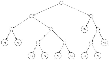
• Задача 10. Кодируем деревом

    Будем использовать кодирование с помощью дерева, в листьях которого написаны буквы, а на каждом ребре — либо 0 либо 1 (см. рисунок). Чтобы закодировать букву, нужно пройти по дереву от корня до этой буквы, записав все цифры на ребрах этого пути. Мы закодировали фразу “мистерфокссмотрелкомикс” и получили последовательность:
    000010110010001110110110100111110100000010100011001111100111001000010111110
    Определите, какая переменная какой букве соответствует в дереве. В ответ запишите подряд без пробелов 10 букв, соответствующих $x_1$, $x_2$, … , $x_{10}$ .

    question img

Ответы 1

  • Последовательность от х1 до х10    -   мотиреслфк
    • Автор:

      wise
    • 6 лет назад
    • 0
  • Добавить свой ответ

Еще вопросы

Войти через Google

или

Забыли пароль?

У меня нет аккаунта, я хочу Зарегистрироваться

How much to ban the user?
1 hour 1 day 100 years