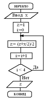
• Дана блок-схема. Какое значение будет иметь z на выходе, если x=47? (При решении и в ответе округляй до десятых)

    question img

Ответы 1

  • x := 47z := 1i := 01 итерация цикла:z := (1+47/2)/2 = 12,25 (округляем, получаем 12,2)i := 0 + 1 = 12 итерация цикла:z := (12,2 + 47/2)/2 = 17,85 (округляем, получаем 17,8)i := 1 + 1 = 23 итерация цикла: z := (17,8 + 47/2)/2 = 20,65 (округляем, получаем 20,6)i := 2 + 1 = 34 итерация цикла: z := (20,6 + 47/2)/2 = 22,05 (округляем, получаем 22)i := 3 + 1 = 4i < 4 - условие не выполняется, выводим 22Ответ: 22
    • Автор:

      javon12lo
    • 2 года назад
    • 5
  • Добавить свой ответ

Войти через Google

или

Забыли пароль?

У меня нет аккаунта, я хочу Зарегистрироваться

How much to ban the user?
1 hour 1 day 100 years