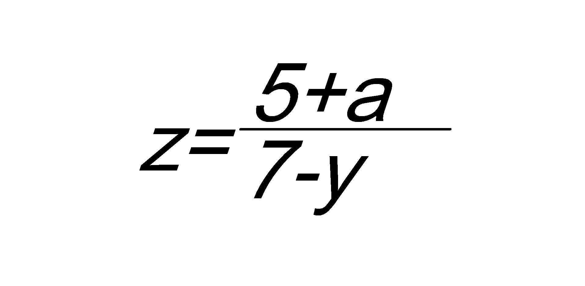
• Написать программу в PascalABC.NET для вычисления выражения (пример в файле внизу). Результат вывести.Спасибо!

    question img

Ответы 1

  • // PascalABC.NET 3.2, сборка 1379 от 21.01.2017beginvar a,y:real; Read(a,y);Write((5+a)/(7-y))end.Пример5.2 -3.111.00890207715134
    • Автор:

      shaniya
    • 6 лет назад
    • 0
  • Добавить свой ответ

Войти через Google

или

Забыли пароль?

У меня нет аккаунта, я хочу Зарегистрироваться

How much to ban the user?
1 hour 1 day 100 years