• Срочно!
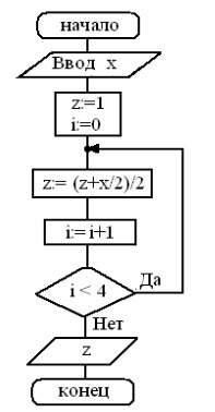
    Дана блок-схема. Какое значение будет иметь z на выходе, если x=44? (При решении и в ответе округляй до десятых)

    question img

Ответы 1

  • У меня получился ответ ~14.5
    • Автор:

      viola54
    • 6 лет назад
    • 0
  • Добавить свой ответ

Войти через Google

или

Забыли пароль?

У меня нет аккаунта, я хочу Зарегистрироваться

How much to ban the user?
1 hour 1 day 100 years