• ПОМОГИТЕ С ПАСКАЛЕМ, СПАСИТЕ. НУЖНО НАПИСАТЬ ПРОГРАММУ.. очень прошу помогите написать. задание на картинке

    question img

Ответы 3

  • Я не люблю писать на FPS - это длинно и неинтересно. FPS - пережиток прошлого, 1997 год - 20 лет прошло.
    • Автор:

      píowgbf
    • 6 лет назад
    • 0
  • очень сильно выручите
    • Автор:

      zackery
    • 6 лет назад
    • 0
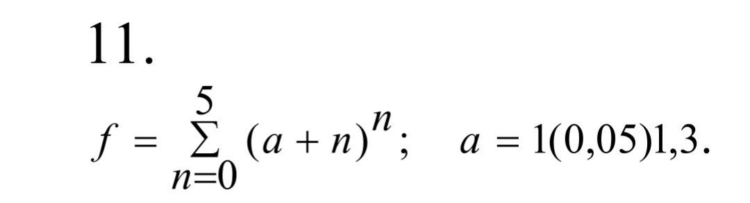
  • \displaystyle f=\sum_{n=0}^5(a+n)^n=(a+0)^0+(a+1)^1+(a+2)^2+...+(a+5)^5= \\ 
1+(a+1)+(a+2)^2+...+(a+5)^5=\boxed{a+2+\sum_{n=2}^5(a+n)^n}// PascalABC.NET 3.2, сборка 1404 от 16.03.2017// Внимание! Если программа не работает, обновите версию!begin  var k:=Trunc((1.3-1)/0.05)+1;  for var i:=1 to k do begin    var a:=1+0.05*(i-1);    var f:=a+2.0;    for var n:=2 to 5 do f+=power((a+n),n);    Writeln(a:4:2,f:18:9)    endend.Результат1.00    8477.0000000001.05    8834.6053190631.10    9204.1141100001.15    9585.8191446881.20    9980.0179200001.25   10387.0126953131.30   10807.110530000
    • Автор:

      chana
    • 6 лет назад
    • 0
  • Добавить свой ответ

Еще вопросы

Войти через Google

или

Забыли пароль?

У меня нет аккаунта, я хочу Зарегистрироваться

How much to ban the user?
1 hour 1 day 100 years