• Решите систему уравнений.
    Где x и y озночает основание системы счисления

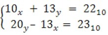
    question img

Ответы 1

  • Расписываем систему через основания  x и y10(x) = x,  13(y) = y+3,  20(y) = 2yполучим систему уравненийx+y+3 = 222y - x - 3 = 23сложим первое и второе уравнения:3y = 45 ->  y = 15подставляем в первое уравнениеx + 15 + 3 = 22  ->  x = 4исходная система уравнений будет:10(4) + 13(15) = 22(10)20(15) - 13(4) = 23(10)
  • Добавить свой ответ

Войти через Google

или

Забыли пароль?

У меня нет аккаунта, я хочу Зарегистрироваться

How much to ban the user?
1 hour 1 day 100 years